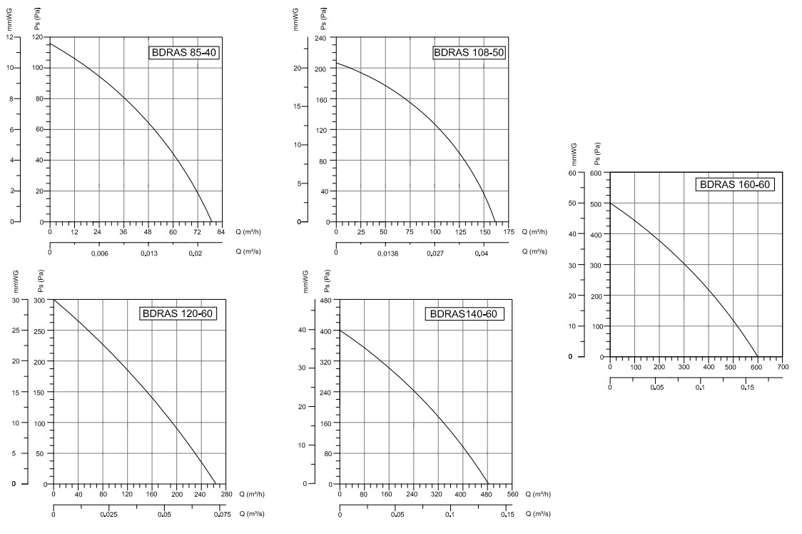
Радиальный вентилятор улитка BDRAS обладает конструкцией, которая способствует экономии пространства при применении в различных областях для вентиляции и охлаждения.
Класс изоляции:
B
Директива:
соответствует EN 60335-1 EN 60335-2-80
Контроль скорости:
Скорость вентилятора улитки BDRAS изменяется при помощи дополнительного регулятора скорости (BSC-1, BSC-2)
Область применения:
Радиальные вентиляторы для котла с алюминиевым корпусом с загнутыми вперед лопатками серии BDRAS способствует экономии пространства при применении в различных областях для вентиляции и охлаждения. Алюминиевый корпус лучше поглащает звук, позволяя использовать вентилятор в более чувствительных к уровню шума областях.






